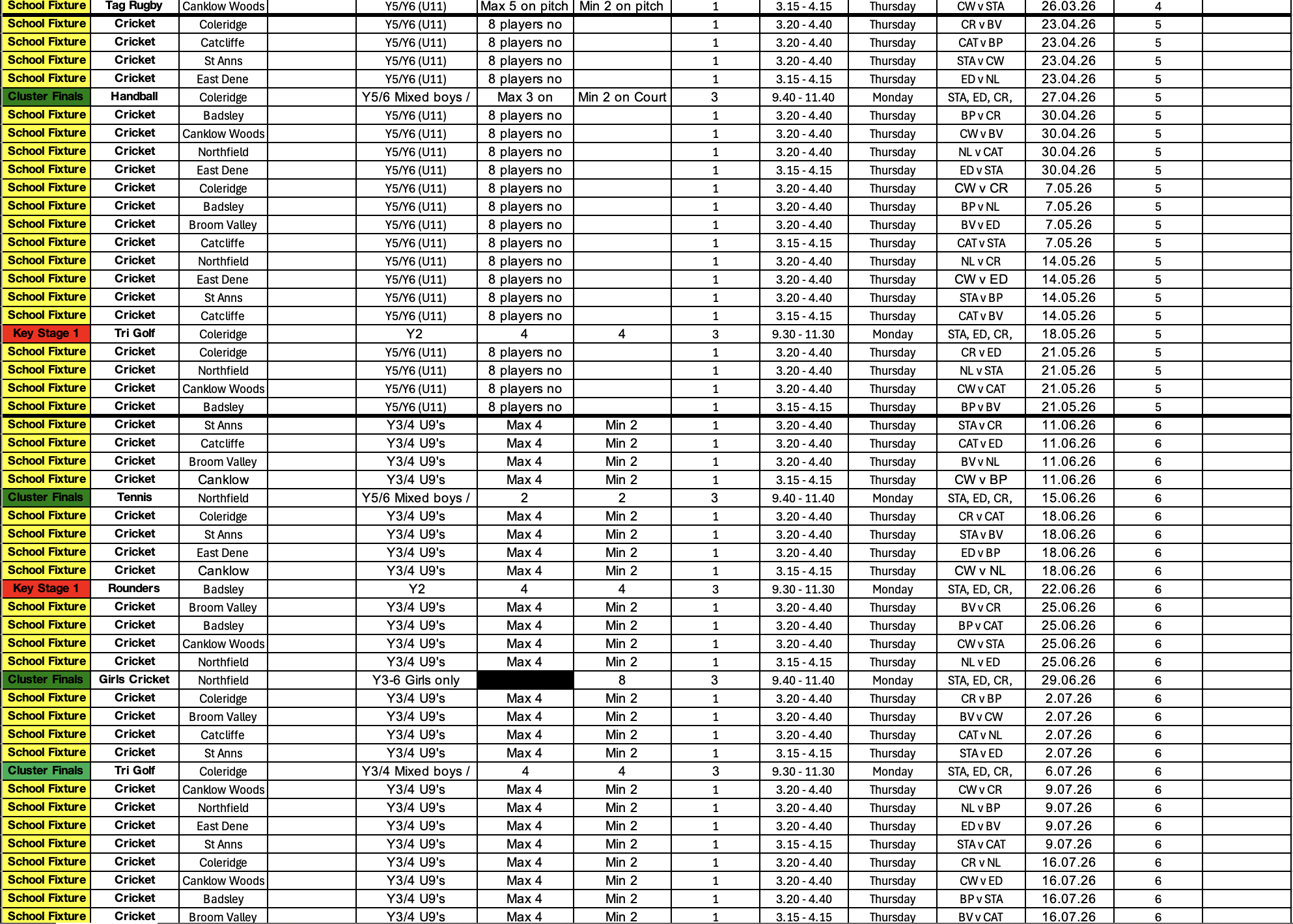
Sports Festivals






Coleridge Primary School is part of The Central Learning Partnership Trust: a company limited by Guarantee.
Registered in England and Wales. Company number: 07827368. Registered Office: Central Learning Partnership Trust, Prestwood Road, Wolverhampton, WV11 1RD.
Copyright © 2022 The Central Learning Partnership Trust. All Rights Reserved.